















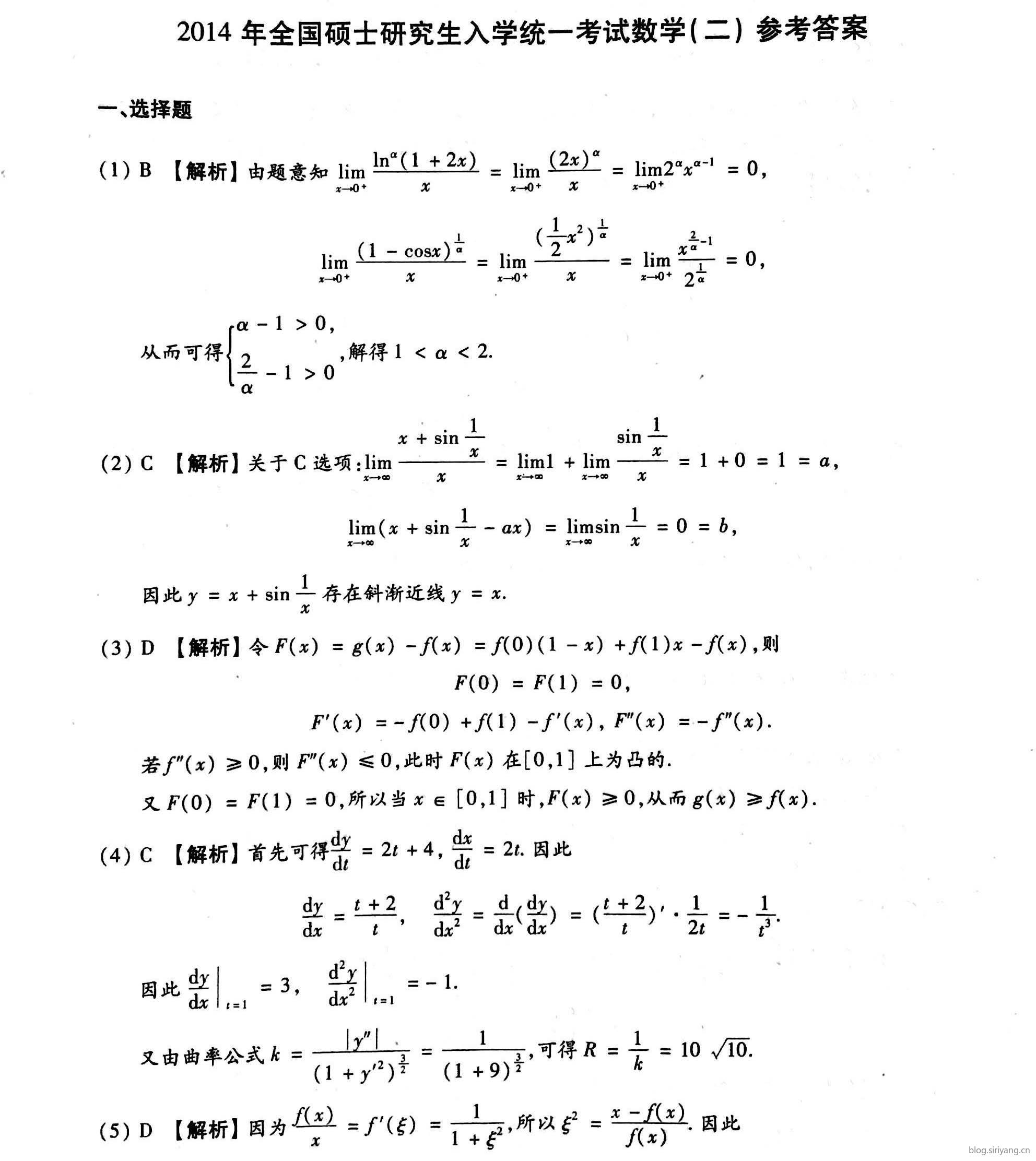
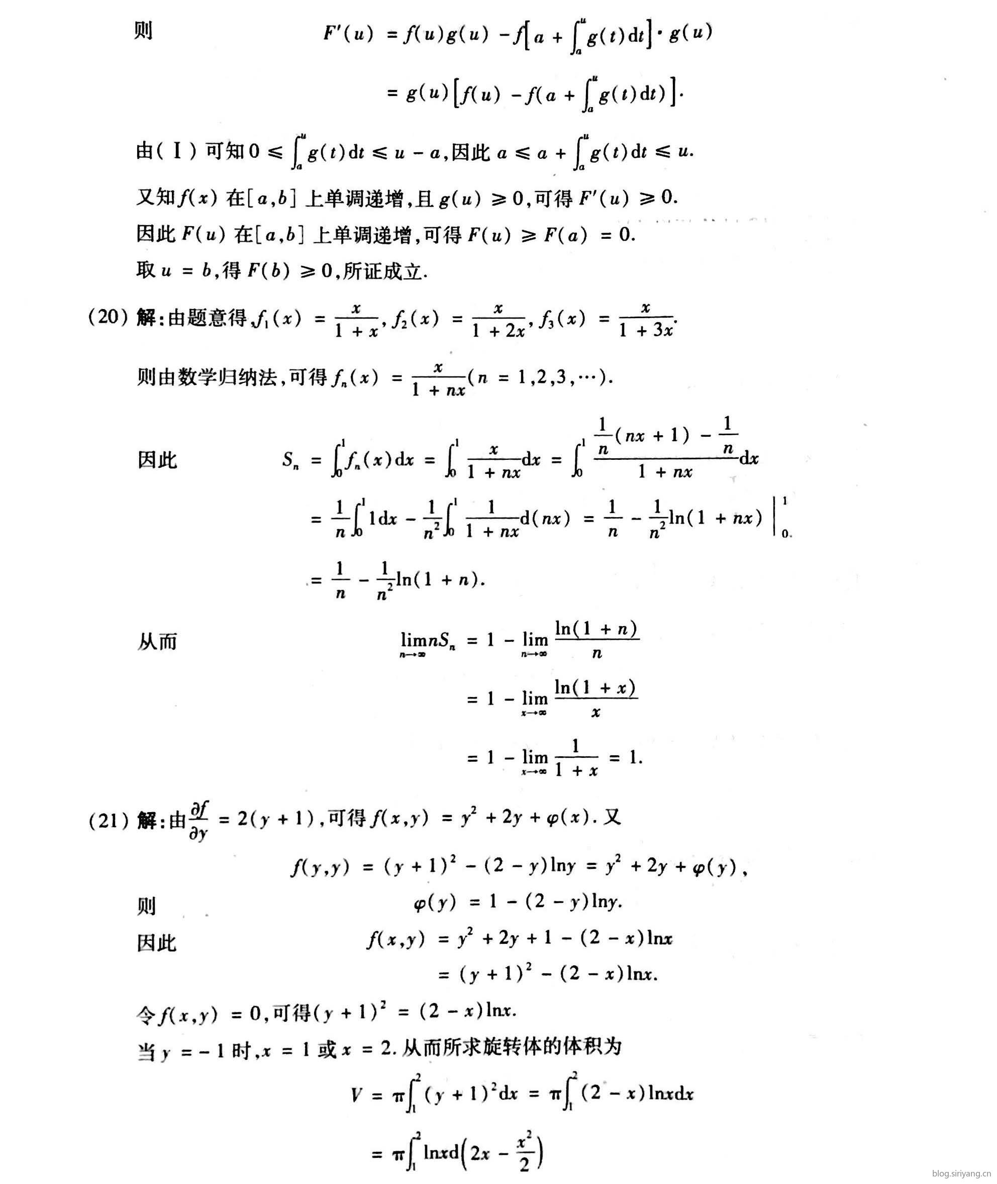
2014数二真题
-------- 本文结束
感谢阅读 --------
相关文章
觉得文章写的不错的话,请我喝瓶怡宝吧!😀
- 本文标题: 2014数二真题
- 创建时间: 2019年09月25日 - 22时09分
- 修改时间: 2021年10月29日 - 18时10分
- 本文链接: https://blog.siriyang.cn/posts/20190925224753id.html
- 版权声明: 本博客所有文章除特别声明外,均采用 CC BY-NC-SA 4.0 许可协议。转载请注明出处!