前言
高次多项式的因式分解一直都是一个比较头疼的事,在考研数学中在有理函数不定积分中将真分式拆解、线性代数中求高阶矩阵的特征值和常系数微分方程求解的过程中都可能会需要高次多项式因式分解。
虽然考研题的次项一般不会超过四次,很多时候也能用巧妙方法求解,但也有不能一眼看出答案的时候,所以有必要掌握一种比较通用且高效的因式分解方法。
方法一
试根法。
由于考研题目但凡能算出来的一般不会把答案设计的太过复杂,所以可以把 $x_0$ 取 $\pm 1,\pm2,\pm 3 \dots$依次带入方程 $f(x)$ 尝试,如果如果为解,就利用多项式除法把 $(x-x_0)$ 提出: $f(x)=(x-x_0)\cdot g(x)$,然后递归因式分解商式 $g(x)$。
但是由于我们处理的多为高阶多项式,当 $x_0$ 取的过大都还算不出来时就不宜再用此方法,改用其他方法求解。
方法二
本方法主要针对三次和四次多项式。
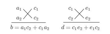
设 $ax^4+bx^3+cx^2+dx+e$ 为整系数四次多项式。
- 设 $a_1a_2=a, \quad e_1e_2=e$ ,且

- 设

则有: $ax^4+bx^3+cx^2+dx+e=(a_1x^2+c1x+e_1)(a_2x^2+c2x+e_2)$ 。实际计算我们可以把上述过程归结为下图:

证: $ (a_1x^2+c_1x+e_1)=a_1a_2x^4+(a_1e_2+c_1c_2+e_1a_2)x^2+e_1c_2)x+e_1e_2 $
注意到: $a_1a_2=a,a_1e_2+c_1c_2+e_1a_2=(c-\overline c)+\overline c=c,$$c_1e_2+e_1c_2=d,e_1e_2=e$,故有分解式$ax^4+bx^3+cx^2+dx+e=(a_1x^2+c1x+e_1)(a_2x^2+c2x+e_2)$ 。
由于四次整系数多项式总可以分解成二个二次整系数多项式。因此上述步骤总是可实现的。
例1、分解: $2x^4-x^3+2x^2+3x-2$
解:

所以 $2x^4-x^3+2x^2+3x-2$
$=(x^2-x+2)(2x^2+x-1)$
$=(x^2-x+2)(x+1)(2x-1)$
而对于三次多项式,我们可视其四次项系数为零即可,同样其他情况缺少某一次项就将该次项系数置零带入计算。
例2、分解: $2x^3-3x^2+5x-2$
解:

所以 $2x^3-3x^2+5x-2$
$=(2x-1)(x^2-x+2)$
方法三
高次多项式因式分解的一般方法
首先,先介绍下面两个定理。
定理 1 设 $f(x)=a_nx^n+a_n-1x^{n-1}+\dots +a_1x+a_0$ 是一个整系数多项式,如果有理数 $v/u$ 是它的一个根,其中 $u$ 与 $v$ 互素,则 $u \mid a_n$ , $v \mid a_0$ 。特别地,当 $a_n=1$ 时, $f(x)$ 的有理根都是整数,且为常数项 $a_0$ 的因数。
证明: 因为 $v/u$ 是 $f(x)$ 的根,故 $ux-v$ 整除 $f(x)$ ,设
则比较两端 $n$ 次项系数和常数项,得:
由于 $f(x)$ 与 $ux-v$ 都是整系数多项式,而 $ux-v$ 又是本原的,故可知 $b_{n-1}x^{n-1}+\dots +b_1x+b_0$是一个整系数多项式,因此 $b_{n-1}$ 与 $b_0$ 都是整数,于是由(**)知: $u \mid a_n$ , $v \mid a_0$ 。
这个定理说明,欲求整系数多项式 $f(x)$ 的有理根,可先求其常数项 $a_0$ 的全部因数(包括负因数),设为 $v_1,v_2,\dots ,v_s$ ;再求出首项系数 $a_n$ 的全部因数(也包括负因数),设为 $u_1,u_2,\dots ,u_t$,则如果 $f(x)$ 有有理根,它的有理根必在所有有理数 $v_i/u_j(i=1,2,\dots ,s;j=1,2,\dots ,t)$ 之中。但是这些有理数中究竟哪些是 $f(x)$ 的根,还需要通过综合除法来逐个进行检验。但这样太麻烦,会浪费太多的时间,为了更简便地判断它的根,我们再引出下面一个定理。
定理 2 若既约分数 $v/u$ 是整系数多项式 $f(x)$ 的根,则 $u-v \mid f(1),u+v \mid f(-1)$
证明: 因为 $v/u$ 是 $f(x)$ 的根,由 定理 1 中的(*)知有:
但由于 $f(x)$ 是整系数, $f(1)$ 与 $f(-1)$ 都是整数,又 $b_{n-1},\dots ,b_1,b_0$ 也是整数,故:
下面,我们用上面两个定理来对一些多项式进行因式分解。
例1 把 $6x^3-5x^2+5x-2$ 因式分解
解: 我们先把它转化为求 $f(x) = 6x^3 - 5x^2+5x - 2$ 的有理根。由 定理 1 知: f (x)的常数项 $-2$ 的全部因数是: $\pm1,\pm2$ ;其中首项系数 $6$ 的全部因数是: $\pm1, \pm2,\pm3,\pm6$ 。因此要进行检验的有理数为: $\pm1,\pm2,\pm1/2,\pm1/3, \pm2/3,\pm1/6$ 。
但易知 $f(1) = 4 , f (-1) =18 $,故 $\pm 1$ 都不是 $f(x)$ 的根,再由 定理 2,由于:
故 $-2,1/3,\pm 2/3,\pm 1/6$ 都不是 $f(x)$ 的根,因此剩下只需检验 $2,1/2,-1/3$ 这三个数了。由 易知,只有$1/2$ 是它的根。
$\therefore 6x^3-5x^2+5x-2 $
$ =(x-1/2)(6x^2-2x+4)$
$ =(2x-1)(3x^2-x+2)$
例2 把 $4x^4+7x^3+10x^2+5x-2$ 因式分解
解: 先把它转化成求 $f(x)=4x^4+7x^3+10x^2+5x-2$ 的有理根。
$\because f(x)$常数项和首项系数的全部因数分别为: $\pm1,\pm2$ 与 $\pm1, \pm2,\pm4$ 。需要检验的有理数为: $\pm1,\pm2,\pm1/2,\pm1 / 4$ 。
由于 $f (-1) = 0$ 故 $-1$ 是 $f (x)$ 的根,且易知,
按照同样方法可求 $g(x)=4x^3+3x^2+7x-2$ 有理根,易知 $g(x)$ 的有理根为: $1/4$ ,由:

$\therefore 4x^4+7x^3+10x^2+5x-2$
$=(x+1)(x-1/4)(4x^2+4x+8)$
$=(x+1)(4x-1)(x^2+x+2)$
下面介绍两种特殊的高次多项式因式分解。
与首末两项等距离的项的系数相等的高次多项式的因式分解的方法
最高次数是偶次的多项式
例3 把 $2x^4+3x^3-16x^2+3x+2$ 因式分解
解: 把多项式的各项除以中间项 $x^2$ ,经整理,转化为方程得:
用换元法:
令 $x+1/x=y$ 有, $x^2+1/x^2=y^2-2$,
代入得 $2(y^2-2)+3y-16=0$,
即 $2y^2+3y-20=0$。
解之得: $y_1=5/2,y_2=-4$。
于是确定 $x$ 的两个方程:
$\therefore x+1/x=5/2 $,
$ x+1/x=-4 $。
解之得
$x_1=2,x_2=1/2,x_3=-2+\sqrt{3},x_4=-2-\sqrt{3}$,
$\therefore 2x^4+3x^3-16x^2+3x+2 $
$=2(x-2)(x-1/2)(x+2-\sqrt{3})(x+2+\sqrt{3})$
$=(x-2)(2x-1)(x+2-\sqrt{3})(x+2+\sqrt{3})$
最高次数是奇数的多项式
例4 把 $x^5+2x^4-x^3+x^2-2x-1$ 因式分解
分析:这是与首末两项等距离的项的系数成相反数,必然有系数和等于 $0$ ,所以 $1$ 是 $x^5+2x^4-x^3+x^2-2x-1=0$的根,所以多项式可以化为:
而 $x^4+3x^3+2x^2+3x+1$ 又是与 例3 同样的解法。
例5 把 $2x^5+5x^4-13x^3-13x^2+5x+2$ 因式分解
分析: 这是与首末两项等距离的项的系数相等而最高次数为奇数,所以 $x = -1$ 是 $2x^5+5x^4-13x^3-13x^2+5x+2=0$ 的根,从而原多项式可以化为:
而 $2x^4+3x^3-16x^2+3x+2$ 又是与 例3 同样的解法。
各项系数和等于零的高次多项式
例6 把 $x^4+2x^3+5x^2+4x-12$ 因式分解
解: 多项式的各项系数和:
因此 $x=1$ 必为 $x^4+2x^3+5x^2+4x-12=0$ 的根,因此由综合除法可得:

所以多项式可化为:
接着对 $x^3+3x^2+8x+12$ 进行因式分解,按之前最开始的方法可以求出:
$x^3+3x^2+8x+12=(x-2)(x^2+x+6)$
$\therefore x^4+2x^3+5x^2+4x-12 $
$=(x-1)(x-2)(x^2+x+6)$
结语
除了掌握上述方法以外,熟记常见的三次多项式也有利于提高解题速度。